Predicted RT worsens after ?calibrating ("Use Results")

support
Predicted RT worsens after ?calibrating ("Use Results") wphipps5  2024-02-29 15:54
 

I am trying to process DIA results (in 23.1.0.380) for samples spiked with the Pierce iRT mix. After importing sample data files into a document containing only the PRTC mix peptides (14 peptides), I tried to recalibrate the retention time prediction (using the "Use Results" button under Peptide Settings in the prediction tab), but the predicted retention times all worsened...

For example, the Pierce SSA peptide elutes on our system at about ~12.6 min. The original predicted RT was 11.3 (appearing in the document after file import). I then tried pressing the "Use Results" button (in the calculator under Peptide settings) to refine further and the predicted RT jumped to 20.6, which would exclude the peptide based on a 10 minute extraction window. For the GIS peptide (actual RT = 14.3 min), the original "predicted" RT shown after importing the data was 14.7, whereas after pressing "Use Results" the predicted RT increased to 22.0. Clearly I am doing something wrong here...

The Skyline document is attached. The Text file also has a summary.

Sorry for all the idiotic questions.
Thank you
Bill

 
 
Nick Shulman responded:  2024-02-29 16:29
I see that your Skyline document only contains iRT standard peptides.

You should not try to use an iRT database to predict the retention times for the iRT standards. Instead, the way that it's supposed to work is that Skyline extracts chromatograms for the iRT standards for the entire retention time gradient. Skyline looks at the chromatograms and chooses the best peaks for each of the iRT standards. Then, Skyline does a linear regression between the retention time of the apex of each standard's peak against the "iRT Value" that you see in the upper grid ("iRT Standards") at "Settings > Peptide Settings > Prediction > Calculator Button > Edit Current".

The slope and intercept of that linear regression would then be used to convert the iRT values in the lower grid ("Other iRT values") in the Edit iRT Calculator dialog. Your Skyline document does not have anything in the lower grid so the slope and intercept of the linear regression would not get used for anything.

The "Calibrate" button changes the iRT values of your standards so that the linear regression you see at "View > Retention Times > Regression > Score to Run" is a perfectly straight line when you choose "Points > Standards" and "Replicates > All".

Where are you seeing the incorrect predicted retention times? If those numbers are wrong, it sounds like the thing that you are looking at is using the wrong slope and intercept to convert between iRT score and retention time.

I might be able to figure out what you mean if you could send me two Skyline documents: one before you do "Use Results" and one after doing "Use Results". And maybe a screenshot of what you are looking at that has the wrong predicted retention time.
-- Nick
 
wphipps5 responded:  2024-02-29 19:42
I think I should reframe my question around the actual objective... What is the "best practice" way to import DIA results when using both a Prosit library and spiked retention time standards? I thought I might need to first "recalibrate" the iRT Values using my own empirical data (specific to our chromatography) but maybe that's not the case or is a nonsensical proposition.

Currently, to process our DIA results I do the following (starting from a blank document):
1) Import a FASTA (of target proteins)
2) Generate a Prosit library (Peptide > Library > Build), selecting the Pierce iRT standard peptides and NCE 33.
3) Skyline then prompts, "Add Retention Time Predictor"? I pick Yes, time window 10 min.
4) Skyline then prompts regarding whether to "Add Standard Peptides" and the # of transitions to add per peptide (I pick Yes and 6). At this point we have a document containing the standard peptides + peptides of interest but no data.
5) Finally, import DIA mzML files by selecting File > Import Results. Before importing anything, Skyline to ask whether to add decoy peptides (I pick Yes).

I attached another Skyline document resulting from steps 1-5. Should I just leave the iRT values alone?

Thank you very much,
Bill

[edit: original documents were too large to upload, reattached with just 1 result file]
 
Nick Shulman responded:  2024-02-29 20:07
It sounds like you wanted to attach a file to this support request but nothing actually got attached.
This often happens if the file you were trying to attach is larger than 50MB.
Files which are larger than 50MB can be uploaded here:
https://skyline.ms/files.url

I am not sure which "Use Results" button you were referring to in your original post.
I think after you have managed to extract all of your chromatograms and Skyline has picked peaks it might then make sense to go to "Settings > Peptide Settings > Predition", push the calculator button and choose "Edit Current".
Then, at the bottom of the "Edit iRT Calculator" dialog there is a button "Add..." which lets you choose "Results" which will change the values in the "Other iRT Values" grid. Also, it asks if you want to recalibrate, and if you choose yes, then it also ends up changing the values in the "iRT standards" grid.

The only place I saw a "Use results" button was in the "Calibrate iRT Calculator" dialog which you would get by pushing the "Recalibrate" button on the "Edit iRT Calculator" dialog. I'm not 100% sure, but I don't think you should push that Recalibrate button. Just use the "Add > Results" button at the bottom of the dialog instead.
-- Nick
 
Nick Shulman responded:  2024-02-29 20:34
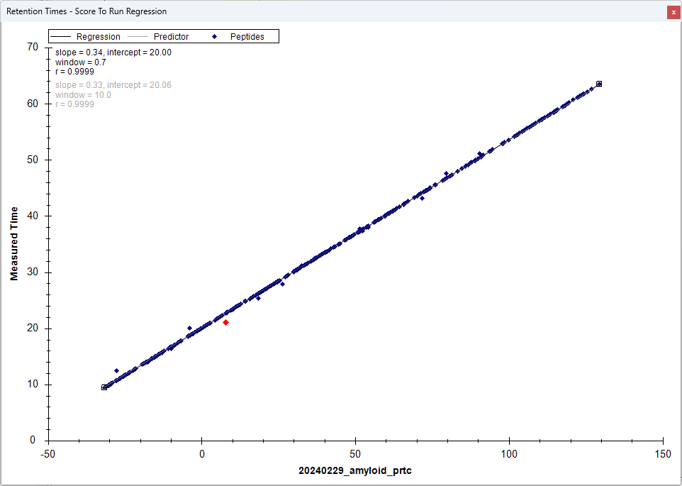
When you use the "Add > Results" button at the bottom of the "Edit iRT Calculator" dialog, it causes the "View > Retention Times > Regression > Score To Run" graph to become a very straight line.
If you choose "Yes" when Skyline asks whether you want to also recalibrate, the points will all perfectly lie on a straight line.
If you choose "No" when Skyline asks about recalibrating then there will be a small number of points that are slightly off the straight line and those are the iRT standards.

Hope this helps,
-- Nick
 
wphipps5 responded:  2024-03-01 13:21
Thank you. On my end, using the "Add Results" function does initially adjust the iRT values, but they're not "sticking." The values keep reverting to their original numbers after I leave Peptide Settings. I attached screenshots demonstrating this. Page 5 shows the iRT values after adjustment. Page 9 shows they have reverted to their original numbers after leaving Peptide Settings.
 
Nick Shulman responded:  2024-03-01 13:49
Oops. Yes, that looks like a bug.
After Skyline told you that iRT values in .blib files cannot be modified on page 6 of your .pdf file and forced you to save a new .irtdb file, the path in your predictor should have been changed to that new iRT file. However, as we can see on page 9 of the .pdf, the path in the "iRT database" text box is still the same as it was before.
You could use the "Open..." button to select the .irtdb file that you created on page 7, and then you really would be able to see the results of your calibration.

The disconnect between the "Name" of your iRT calculator and the actually path to it on disk can cause problems in other ways. When you open a Skyline document, if Skyline has already seen an iRT database with a particular name, the .irtdb file (or .blib) that will be used will be the file that it used last time. Intuitively, if there's a .irtdb file in the same folder as the .sky file, you might expect Skyline to use that .irtdb file, instead of a .irtdb file which might be in a folder far away on your computer. This ends up being particularly confusing if you have downloaded several different .sky.zip files representing different versions of your Skyline document. They all probably have the same name for their iRT database, so they will probably all end up using the same file on disk, even though each .sky.zip that you extracted had its own .irtdb file in its folder.

When working with your Skyline document I had to go to "Tools > Options > Miscellaneous" and push the "Clear all saved settings" button so I could get things back to the state where I was using the iRT database file that I expected.

I will ask around and see whether there is anything we can do to make this matching of iRT database name to file on disk more intuitive.
We do something slightly smarter with spectral libraries where, when Skyline finds a .blib file in the same folder as the .sky file, that .blib file path does not become something that gets shared between all documents on your computer.
-- Nick